Notheizung II Download Berechnungsdatei Spannungsabfall
Berechnung des Kabelquerschnitts
Achtung, kann Fehler enthalten, ich übernehme keine Gewähr oder Haftung, du prüfst Sicherheit und Zulässigkeit selbst.
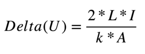
Für mein Video „Notheizung III“ habe ich eine Datei zur Berechnung des Spannungsabfalls erstellt (Download weiter unten). Sie kann für alle Gleichstromversorgungen benutzt werden (vereinfachte Berechnung). Folgende Formel wurde verwendet:

In der Datei sind weitere Informationen vorhanden. Es gibt eine Excel- und eine Numbersdatei. Die Exceldatei wurde nur exportiert, daher kann die Formatierung ein wenig anders aussehen.
Alle Werkzeuge und Materialien sind hier verlinkt.
Die Dieselheizung wurde wie folgt verdrahtet:

Hier ein Screenshot der Datei:

Das Video wird am 11.01.2022 um 8:00 Uhr veröffentlicht.
Hier das Video zur Herstellung des Kabelanschlusses:
Dateien für Excel und Numbers
Hier geht es zum Download:









